Question – 1: Use Euclid’s division algorithm to find the HCF of:
(i) 135 and 225 (ii) 196 and 38220 (iii) 867 and 255
(i) By Euclid’s Division Algorithm, we have
225 = 135 x 1 + 90 135
= 90 x 1 + 45 90
= 45 x 2 + 0
∴ HCF (135, 225) = 45
(ii)By Euclid’s Division Algorithm, we have
38220 = 196 x 195 + 0
196 = 196 x 1 + 0
∴ HCF (38220, 196) = 196
(iii) 867 and 255
Step 1: Since 867 > 255,
apply Euclid’s division lemma, to a =867 and b=255 to find q and r
such that 867 = 255q + r, 0 ≤ r<255
On dividing 867 by 255 we get quotient as 3 and remainder as 102
i.e 867 = 255 x 3 + 102
Step 2: Since remainder 102 ≠ 0,
we apply the division lemma to a=255 and b= 102 to find whole numbers q and r
such that 255 = 102q + r where 0 ≤ r<102
On dividing 255 by 102 we get quotient as 2 and remainder as 51
i.e 255 = 102 x 2 + 51
Step 3: Again remainder 51 is non zero,
so we apply the division lemma to a=102 and b= 51 to find whole numbers q and r
such that 102 = 51 q + r where 0 r < 51
On dividing 102 by 51 quotient is 2 and remainder is 0
i.e 102 = 51 x 2 + 0
Since the remainder is zero, the divisor at this stage is the HCF
Since the divisor at this stage is 51,therefore, HCF of 867 and 255 is 51.
Question 2:
Show that any positive odd integer is of the form 6q + 1, or 6q + 3, or 6q + 5, where q is some integer.
Solution:
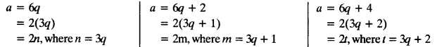
Let ‘a’ be any positive integer and b = 6.
∴ By Euclid’s division algorithm, we have
a = bq + r, 0 ≤ r ≤ b
a = 6q + r, 0 ≤ r ≤ b [ ∵ b = 6] where q ≥ 0 and r = 0,1, 2, 3, 4,5
Now, ‘a’ may be of the form of 6q, 6q + 1, 6q + 2, 6q + 3, 6q + 4, 6q + 5
If ‘a’ is of the form 6q, 6q + 2, 6q + 4 then ‘a’ is an even

In above we can see clearly that the numbers of the form 6q, 6q + 2, 6q + 4 are having the factor 2.
∴ The numbers of the form 6q, 6q + 2, 6q + 4 are even
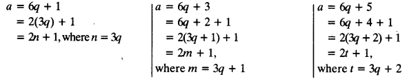
If ‘a’ is of the form 6q +1,6q +3, 6q + 5 then ‘a’ is an odd

We know that the number of the form 2k + 1 is odd.
∴ The numbers of the form 6q + 1, 6q + 3, 6q + 5 are odd.
Alternatively:
Let a be any odd positive integer we need to prove that a is of the form 6q + 1 , or 6q + 3 , or 6q + 5 , where q is some integer. Since a is an integer consider b = 6 another integer applying Euclid’s division lemma
we get a = 6q + r for some integer q ≤ 0, and r = 0, 1, 2, 3, 4, 5 since
0 ≤ r < 6.
Therefore, a = 6q or 6q + 1 or 6q + 2 or 6q + 3 or 6q + 4 or 6q + 5
However since a is odd so a cannot take the values 6q, 6q+2 and 6q+4
(since all these are divisible by 2)
Also, 6q + 1 = 2 x 3q + 1 = 2k1 + 1, where k1 is a positive integer
6q + 3 = (6q + 2) + 1 = 2 (3q + 1) + 1 = 2k2 + 1, where k2 is an integer
6q + 5 = (6q + 4) + 1 = 2 (3q + 2) + 1 = 2k3 + 1, where k3 is an integer
Clearly, 6q + 1, 6q + 3, 6q + 5 are of the form 2k + 1, where k is an integer.
Therefore, 6q + 1, 6q + 3, 6q + 5 are odd numbers.
Therefore, any odd integer can be expressed is of the form
6q + 1, or 6q + 3, or 6q + 5 where q is some integer
Question 3:
An army contingent of 616 members is to march behind an army band of 32 members in a parade. The two groups are to march in the same number of columns. What is the maximum number of columns in which they can march….?
Let n be the number of columns such that the value of n be maximum and it must divide both the numbers 616 and 32.
Then, n = HCF (616, 32)
By Euclid’s Division Algorithm, we have:
616 = 32 x 19 + 8 32 = 8 x 4 + 0
∴ HCF (616, 32) = 8
i. e., n = 8
Hence, the maximum number of columns is 8
Question 4:
Use Euclid’s division lemma to show that the square of any positive integer is either of the form 3m or 3m + 1 for some integer m.
[Hint : Let x be any positive integer then it is of the form 3q, 3q + 1 or 3q + 2. Now square each of these and show that they can be rewritten in the form 3m or 3m + 1.]
Solution:
Let ‘a’ be any positive integer and b = 3.
∴ By Euclid’s division algorithm, we have a = 3q + r, 0 ≤ r < b
a = 3q + r, 0 ≤ r < 3 [ ∵ b = 3] where q ≥ 0 and r = 0,1, 2
∴ a = 3q or 3q + 1 or 3q + 2

Thus, the square of any positive integer is either of the form 3m or 3m + 1.
Alternatively:
Let a be a positive integer, q be the quotient and r be the remainder.
Dividing a by 3 using the Euclid’s Division Lemma,
we have:
a = 3q + r, where 0 ≤ r < 3
Putting r = 0, 1 and 2, we get:
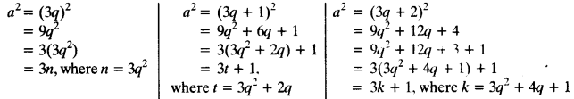
a = 3q
⇒ a2 = 9q2
= 3 x 3q2
= 3m (Assuming m = q2)
Then, a = 3q + 1
⇒ a2 = (3q + l)2 = 9q2 + 6q + 1
= 3(3q 2 + 2q) + 1
= 3m + 1 (Assuming m = 3q2 + 2q)
Next, a = 3q + 2
⇒ a2 = (3q + 2)2 =9q2 + 12q + 4
= 9q2 + 12q + 3 + 1
= 3(3q2 + 4q + 1) + 1
= 3m + 1. (Assuming m = 3q2 + 4q+l)
Therefore, the square of any positive integer (say, a2) is always of the form 3m or 3m + 1.
Hence, proved.
Question 5:
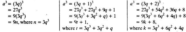
Use Euclid’s division lemma to show that the cube of any positive integer is of the form 9m, 9m + 1 or 9m + 8
Solution:
Let ‘a’ be any positive integer and b = 3.
∴ By Euclid’s division algorithm, we have a = bq + r,0 ≤ r ≤ b
a = 3q + r,0 ≤ r < 3 [ ∵ b = 3] where q ≥ 0 and r = 0. 1, 2
∴ a = 3q or 3q + 1 or 3q + 2

Thus, the cube of any positive integer is of the form 9m, 9m + 1 or 9m + 8.
Thank you